首页
简谱
吉他谱
钢琴谱
最新曲谱
分类
流行类
民族类
少儿类
影视类
戏曲类
外国类
上传曲谱
新乐谱
>
格式
>
简谱
> 雨季相遇简谱
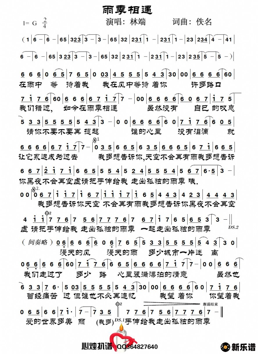
《雨季相遇》简谱 林端-心烛制谱
林端
2019-10-07 00:00:00
流行类
雨季相遇
林端
林端演唱的雨季相遇歌词,雨季相遇简谱.
此简谱由新乐谱会员
心烛
上传
上一篇:
我依然等着你-陈永强
下一篇:
我把真心给错了人-刘美儿
共
0
条评论
评论列表
立即发布
雨季相遇/林端 相关曲谱