首页
简谱
吉他谱
钢琴谱
最新曲谱
分类
流行类
民族类
少儿类
影视类
戏曲类
外国类
上传曲谱
新乐谱
>
格式
>
简谱
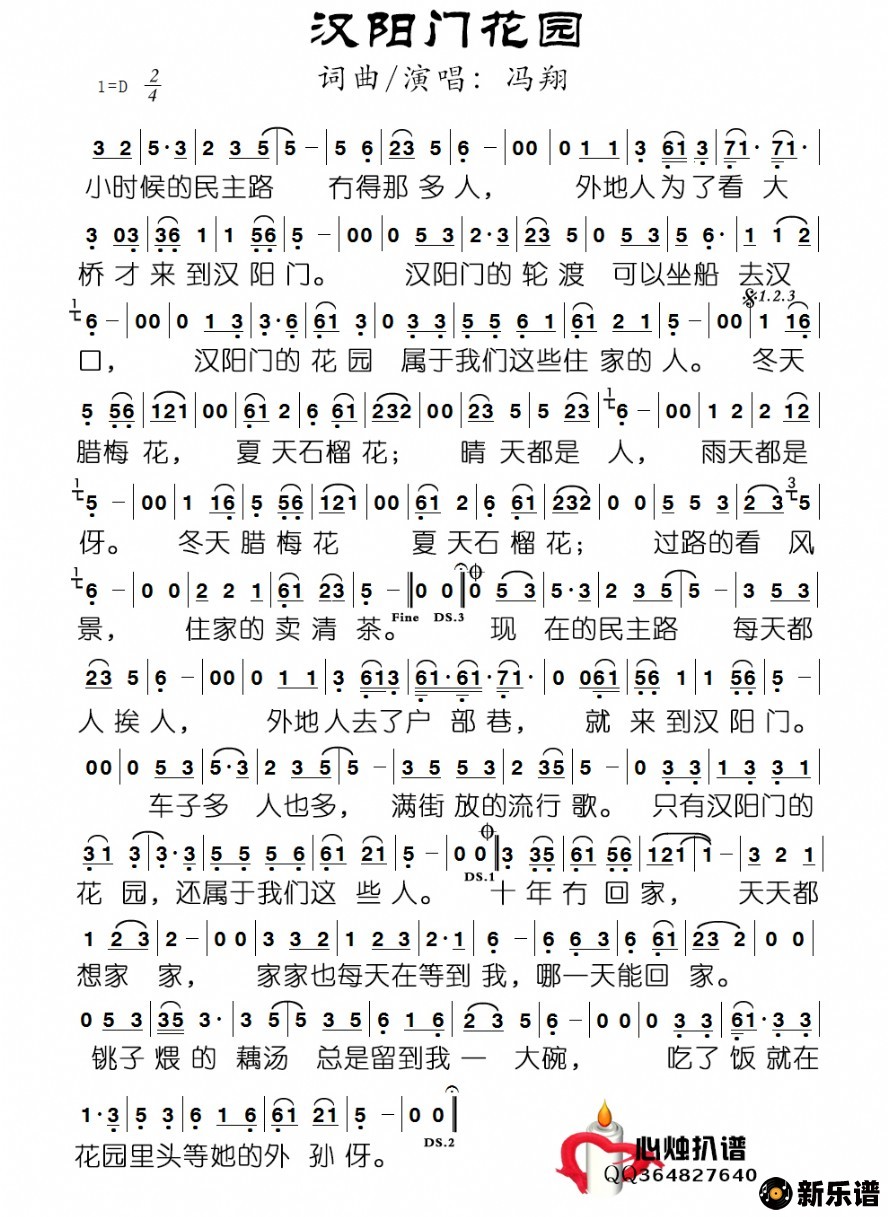
> 汉阳门花园简谱
《汉阳门花园》简谱 冯翔-心烛制谱
冯翔
2019-09-22 00:00:00
流行类
汉阳门花园
冯翔
冯翔演唱的汉阳门花园歌词,汉阳门花园简谱.
此简谱由新乐谱会员
心烛
上传
上一篇:
远方的你在我心中-花无语
下一篇:
错的是你 伤的是我-郭一橙
共
0
条评论
评论列表
立即发布
汉阳门花园/冯翔 相关曲谱