首页
简谱
吉他谱
钢琴谱
最新曲谱
分类
流行类
民族类
少儿类
影视类
戏曲类
外国类
上传曲谱
新乐谱
>
格式
>
最新曲谱
> 生命的过客最新曲谱
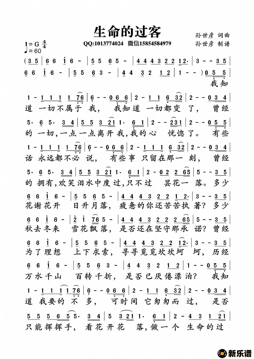
《生命的过客》最新曲谱 -孙世彦制谱
作词:孙世彦 作曲:孙世彦(孙世彦词曲)
2022-04-15 17:01:29
流行类
生命的过客
演唱的生命的过客歌词,生命的过客最新曲谱.
此最新曲谱由新乐谱会员
孙世彦
上传
上一篇:
我有多想你
下一篇:
诀别-童安格
共
0
条评论
评论列表
立即发布
生命的过客/ 相关曲谱