首页
简谱
吉他谱
钢琴谱
最新曲谱
分类
流行类
民族类
少儿类
影视类
戏曲类
外国类
上传曲谱
新乐谱
>
格式
>
简谱
> 甜甜情歌简谱
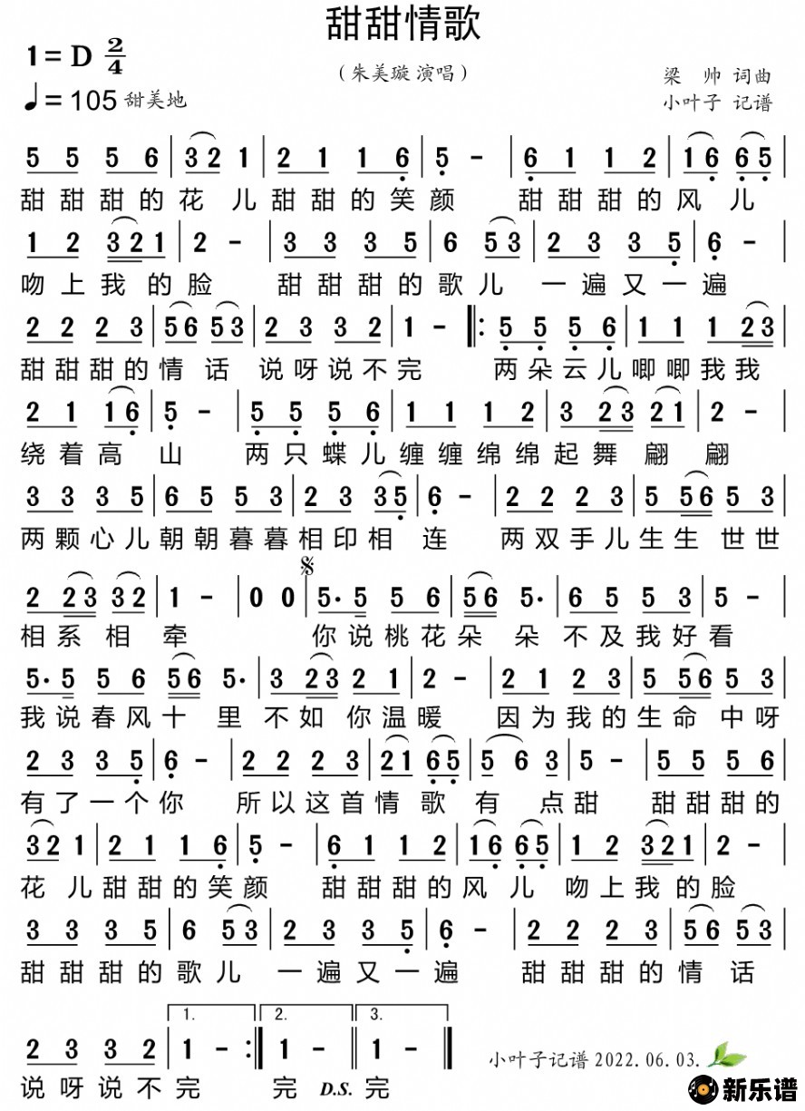
《甜甜情歌》简谱 朱美璇-小叶子制谱
朱美璇
2022-06-04 09:39:20
流行类
甜甜情歌
朱美璇
朱美璇演唱的甜甜情歌歌词,甜甜情歌简谱.
此简谱由新乐谱会员
小叶子
上传
上一篇:
情痴1-薯片啾啾
下一篇:
问情(动画《不良人》插曲)
共
0
条评论
评论列表
立即发布
甜甜情歌/朱美璇 相关曲谱
朱美璇
1、
前世今生(朱美璇演唱版)简谱