首页
简谱
吉他谱
钢琴谱
最新曲谱
分类
流行类
民族类
少儿类
影视类
戏曲类
外国类
上传曲谱
新乐谱
>
格式
>
简谱
> 青石巷简谱
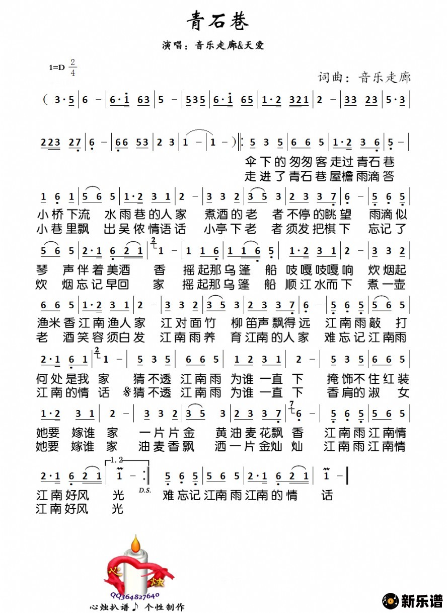
《青石巷》简谱 音乐走廊/天爱-心烛制谱
音乐走廊
/
天爱
2020-09-05 00:00:00
流行类
青石巷
音乐走廊/天爱
音乐走廊/天爱演唱的青石巷歌词,青石巷简谱.
此简谱由新乐谱会员
心烛
上传
上一篇:
不必假装在乎我-溜溜蛋
下一篇:
念念不忘你的温柔-门丽
共
0
条评论
评论列表
立即发布
青石巷/音乐走廊/天爱 相关曲谱
音乐走廊
1、
再一次相遇简谱
天爱
2、
梦中等着你最新曲谱
音乐走廊
/
歌一生
3、
心儿跟着你飞啦最新曲谱
天爱
4、
时光醉了谁容颜简谱
音乐走廊
/
歌一生
5、
风风雨雨生死相依最新曲谱
Southern All Stars(南方之星)
6、
【日】真夏の果実)最新曲谱
音乐走廊
7、
一直在想你最新曲谱
天爱
/
音乐走廊
8、
梦中等着你最新曲谱
音乐走廊
/
歌一生
9、
今生和你生死相依最新曲谱
音乐走廊
/
歌一生
10、
今生我等你最新曲谱