首页
简谱
吉他谱
钢琴谱
最新曲谱
分类
流行类
民族类
少儿类
影视类
戏曲类
外国类
上传曲谱
新乐谱
>
格式
>
简谱
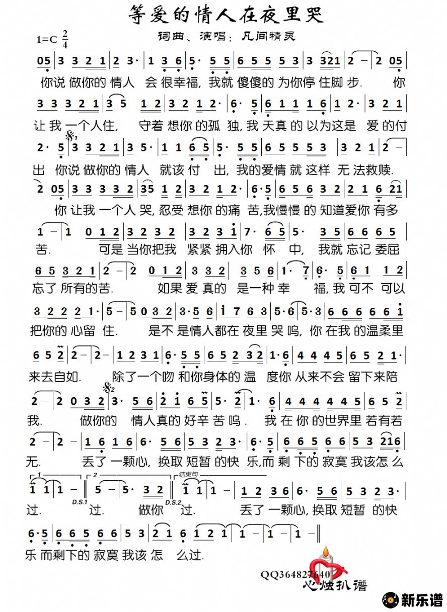
> 等爱的情人在夜里哭简谱
《等爱的情人在夜里哭》简谱 凡间精灵-心烛制谱
凡间精灵
2020-01-05 00:00:00
流行类
等爱的情人在夜里哭
凡间精灵
凡间精灵演唱的等爱的情人在夜里哭歌词,等爱的情人在夜里哭简谱.
此简谱由新乐谱会员
心烛
上传
上一篇:
留住指间沙-风语|亚郞
下一篇:
乡情-孙艺琪
共
0
条评论
评论列表
立即发布
等爱的情人在夜里哭/凡间精灵 相关曲谱
凡间精灵
1、
假如不曾相遇最新曲谱
凡间精灵
2、
孤独的风铃最新曲谱
凡间精灵
3、
心疼你的人你不心疼简谱
李青
/
凡间精灵
4、
杜鹃那山满坡红简谱
凡间精灵
/
宪明
5、
你是风来我是雨简谱
凡间精灵
6、
你的眷恋落进我的酒杯简谱