首页
简谱
吉他谱
钢琴谱
最新曲谱
分类
流行类
民族类
少儿类
影视类
戏曲类
外国类
上传曲谱
新乐谱
>
格式
>
简谱
> 一朵回忆心上开简谱
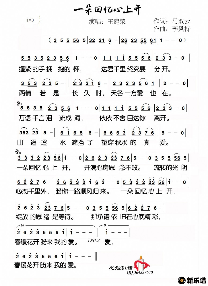
《一朵回忆心上开》简谱 王建荣-心烛制谱
王建荣
2019-08-25 00:00:00
流行类
一朵回忆心上开
王建荣
王建荣演唱的一朵回忆心上开歌词,一朵回忆心上开简谱.
此简谱由新乐谱会员
心烛
上传
上一篇:
握住世界的手-吾杰泽让、高原天籁
下一篇:
回头看看我-崔伟立
共
0
条评论
评论列表
立即发布
一朵回忆心上开/王建荣 相关曲谱
王建荣
1、
我的情深你若懂简谱
爱烂漫
/
王建荣
2、
长路漫漫陪你走最新曲谱
王建荣
/
刘馨月
3、
我在这里 你在哪里最新曲谱
王建荣 司徒兰芳
4、
女人没有错 最新曲谱
王建荣
/
爱烂漫
5、
长路漫漫陪你走最新曲谱
王峰
/
王建荣
6、
红尘三千丈简谱
王建荣
/
刘馨月
7、
你幸福我才快乐简谱
王建荣
8、
老婆 老婆简谱
王建荣
9、
若红尘没有了你简谱
王建荣
10、
太傻太愚蠢简谱