首页
简谱
吉他谱
钢琴谱
最新曲谱
分类
流行类
民族类
少儿类
影视类
戏曲类
外国类
上传曲谱
新乐谱
>
格式
>
简谱
> 茶香夜雨简谱
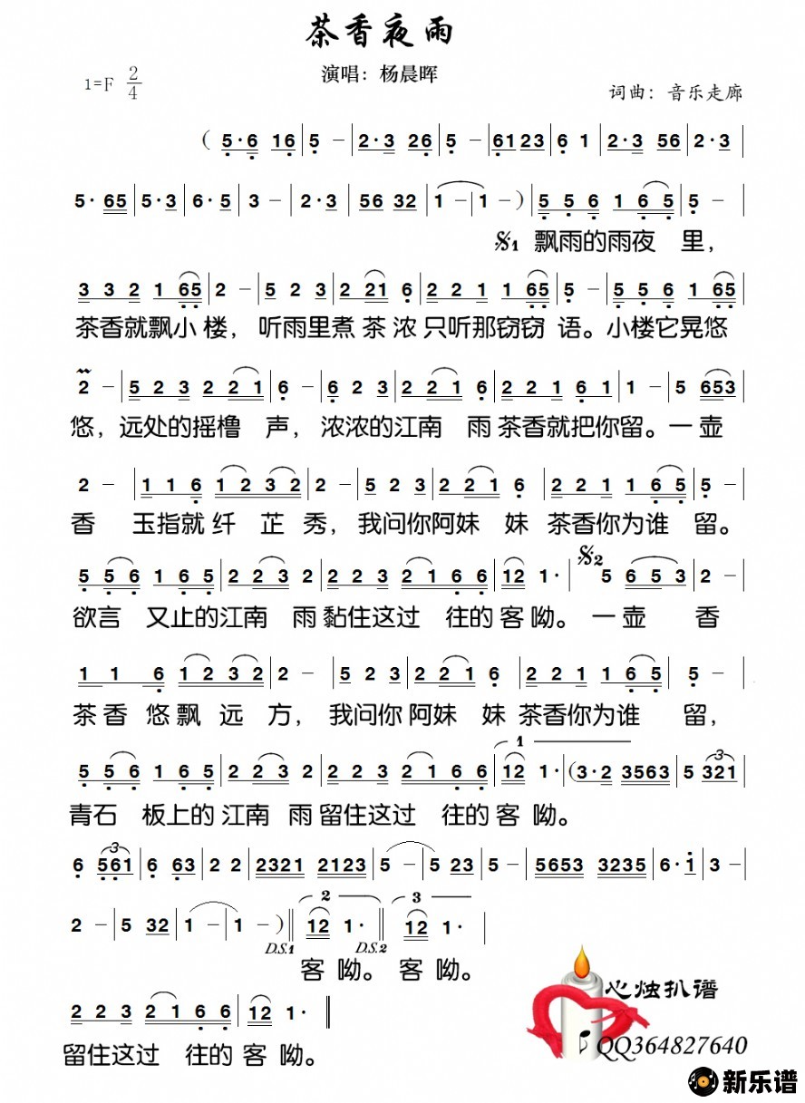
《茶香夜雨》简谱 杨晨晖-心烛制谱
杨晨晖
2019-08-07 00:00:00
流行类
茶香夜雨
杨晨晖
杨晨晖演唱的茶香夜雨歌词,茶香夜雨简谱.
此简谱由新乐谱会员
心烛
上传
上一篇:
在那草地上-德亁旺姆
下一篇:
画江南-风中采莲
共
0
条评论
评论列表
立即发布
茶香夜雨/杨晨晖 相关曲谱
杨晨晖
1、
茶香夜雨简谱