首页
简谱
吉他谱
钢琴谱
最新曲谱
分类
流行类
民族类
少儿类
影视类
戏曲类
外国类
上传曲谱
新乐谱
>
格式
>
简谱
> 此刻真的好想你简谱
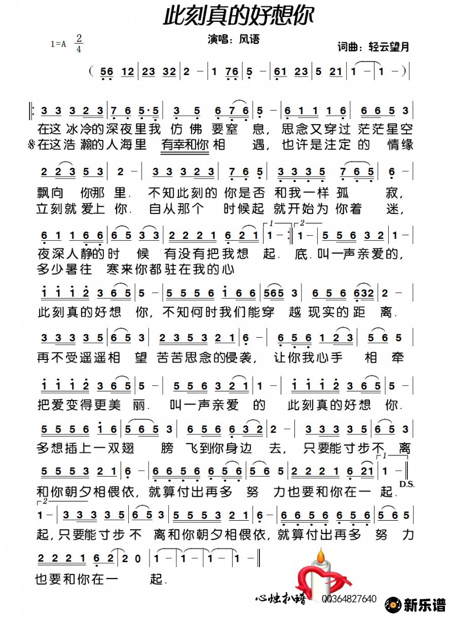
《此刻真的好想你》简谱 风语-心烛制谱
风语
2019-12-16 00:00:00
流行类
此刻真的好想你
风语
风语演唱的此刻真的好想你歌词,此刻真的好想你简谱.
此简谱由新乐谱会员
心烛
上传
上一篇:
再等你一季-孙艺琪
下一篇:
等你忘了我是谁-刘德华
共
0
条评论
评论列表
立即发布
此刻真的好想你/风语 相关曲谱
风语
1、
心里住着一个你简谱
风语
2、
死心塌地简谱
风语
3、
今夜风好凉简谱
风语
4、
来人间这一回简谱
风语
5、
初心最新曲谱
风语
6、
逆行的脚步简谱
风语
7、
等你在花开的春天最新曲谱
风语(刘星红)
8、
难舍的眷恋最新曲谱
风语
9、
叹尘缘最新曲谱
风语
10、
我愿为你化身石桥简谱