首页
简谱
吉他谱
钢琴谱
最新曲谱
分类
流行类
民族类
少儿类
影视类
戏曲类
外国类
上传曲谱
新乐谱
>
格式
>
简谱
> 飞歌简谱
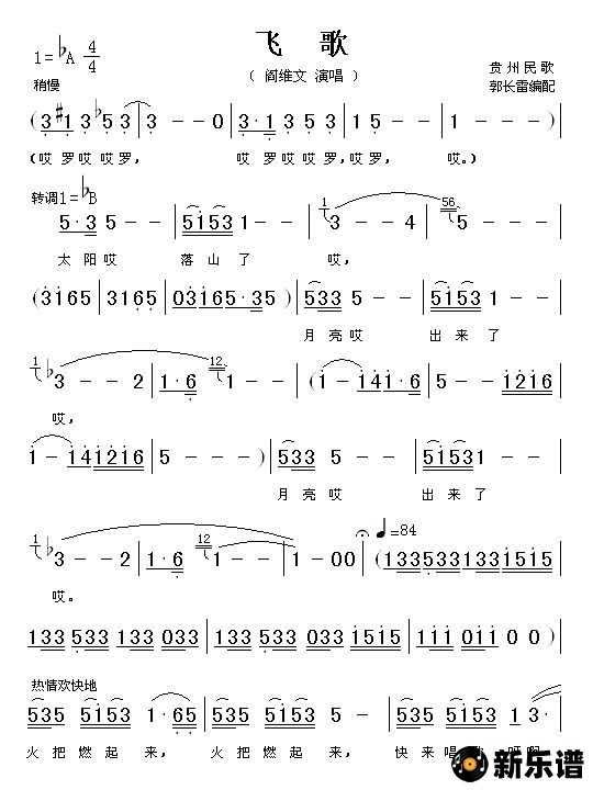
《飞歌》简谱 阎维文-小叶子制谱
阎维文
2010-06-06 23:00:00
民族类
飞歌
阎维文
阎维文演唱的飞歌歌词,飞歌简谱.
此简谱由新乐谱会员
小叶子
上传
上一篇:
情姐下河洗衣裳(简、线谱)-阎维文
下一篇:
天苍苍野茫茫-李娜
共
0
条评论
评论列表
立即发布
飞歌/阎维文 相关曲谱
阎维文
1、
情姐下河洗衣裳(简、线谱)简谱
阎维文
2、
情姐下河洗衣裳简谱
宋祖英
/
阎维文
3、
和风吹来蓝蓝的天简谱
阎维文
4、
想家的时候最新曲谱
阎维文
5、
放马山歌简谱
阎维文
6、
儿行千里简谱
阎维文
7、
打靶归来简谱
阎维文
8、
阿拉木汗简谱
阎维文
9、
东方为什么红(电视剧《东方》主题歌)最新曲谱
阎维文
10、
亲圪蛋下河洗衣裳最新曲谱