首页
简谱
吉他谱
钢琴谱
最新曲谱
分类
流行类
民族类
少儿类
影视类
戏曲类
外国类
上传曲谱
新乐谱
>
格式
>
简谱
> 在最美的时候相聚简谱
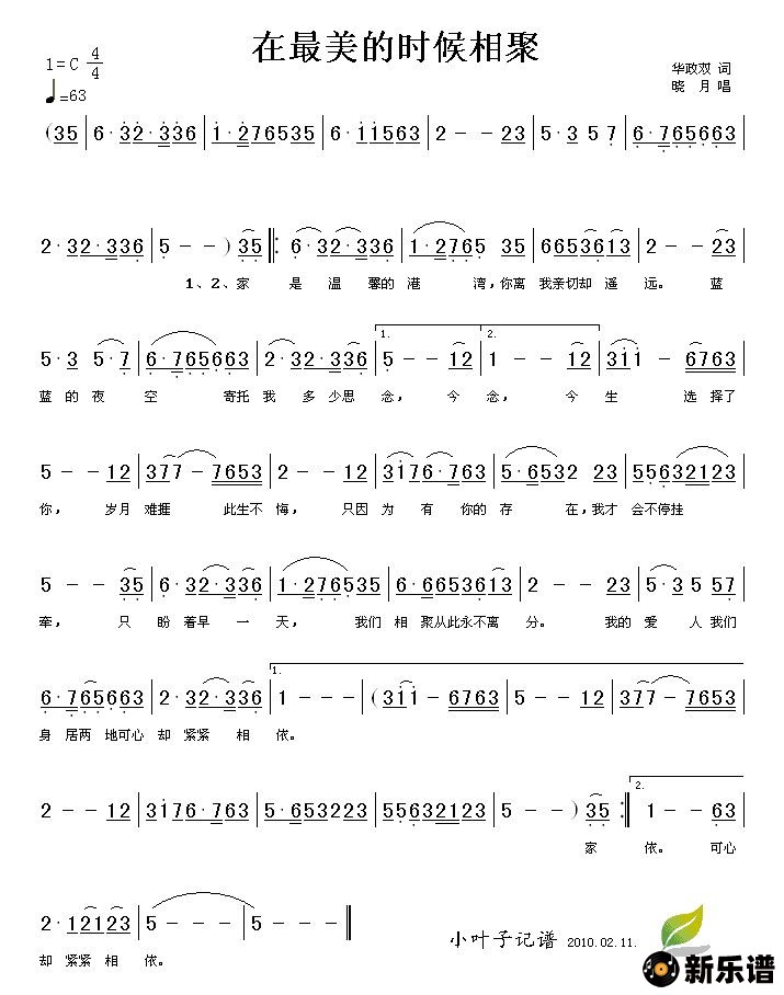
《在最美的时候相聚》简谱 晓月-小叶子制谱
晓月
2010-02-10 23:00:00
流行类
在最美的时候相聚
晓月
晓月演唱的在最美的时候相聚歌词,在最美的时候相聚简谱.
此简谱由新乐谱会员
小叶子
上传
上一篇:
我的马群-毕力格/乌兰
下一篇:
走出三月三-严当当
共
0
条评论
评论列表
立即发布
在最美的时候相聚/晓月 相关曲谱
晓月
/
枫桥
1、
心伞简谱
走晓月
2、
盛世华夏 简谱
晓月
3、
画你最新曲谱
晓月
4、
陪你春秋冬夏最新曲谱
晓月老板
5、
张云雷 探清水河小提琴谱最新曲谱
晓月
6、
爱一场梦一场最新曲谱
晓月
7、
女人如花最新曲谱
8、
晓月最新曲谱
晓月
9、
盛开的红莲最新曲谱
晓月
10、
爱情不是泡泡糖最新曲谱