首页
简谱
吉他谱
钢琴谱
最新曲谱
分类
流行类
民族类
少儿类
影视类
戏曲类
外国类
上传曲谱
新乐谱
>
格式
>
简谱
> 唱给爸爸的歌简谱
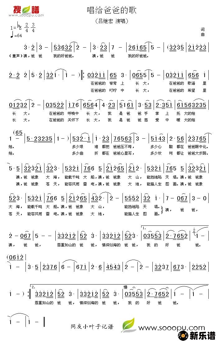
《唱给爸爸的歌》简谱 吕继宏-小叶子制谱
吕继宏
2009-03-14 23:00:00
民族类
唱给爸爸的歌
吕继宏
吕继宏演唱的唱给爸爸的歌歌词,唱给爸爸的歌简谱.
此简谱由新乐谱会员
小叶子
上传
上一篇:
秋色最好是故乡-俞淑琴
下一篇:
咱们的天咱们的地-李世荣/边桂荣
共
0
条评论
评论列表
立即发布
唱给爸爸的歌/吕继宏 相关曲谱
吕继宏
1、
记着老百姓简谱
吕继宏
2、
你幸福我祝福简谱
吕继宏
/
龚爽
3、
致敬最新曲谱
吕继宏
4、
丈夫歌(又名:周瑜之歌)(电视连续剧《三国演义》插曲)最新曲谱
吕继宏
5、
烈火雄风(电视剧《三国演义》插曲)最新曲谱
吕继宏
6、
甘肃老家最新曲谱
吕继宏
7、
国泰民安最新曲谱
张也
/
吕继宏
8、
我们的时代最新曲谱
张也
/
吕继宏
9、
我们的时代简谱
吕继宏
/
周旋
10、
边寨喜讯简谱