首页
简谱
吉他谱
钢琴谱
最新曲谱
分类
流行类
民族类
少儿类
影视类
戏曲类
外国类
上传曲谱
新乐谱
>
格式
>
简谱
> 华彩唱风流----问月简谱
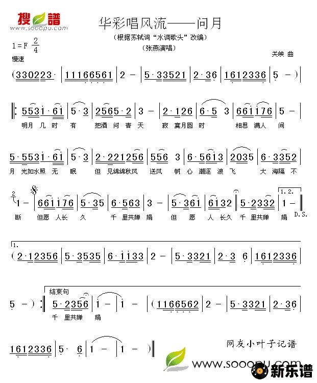
《华彩唱风流----问月》简谱 张燕-小叶子制谱
张燕
2009-01-05 23:00:00
民族类
华彩唱风流----问月
张燕
张燕演唱的华彩唱风流----问月歌词,华彩唱风流----问月简谱.
此简谱由新乐谱会员
小叶子
上传
上一篇:
新曲梁祝-张火丁
下一篇:
吉祥祝福-黑鹰组合
共
0
条评论
评论列表
立即发布
华彩唱风流----问月/张燕 相关曲谱
张燕
1、
欢天喜地简谱
张燕
2、
梦忆江南最新曲谱
张燕
/
胡量
3、
永恒的旋律最新曲谱
张燕
4、
江南美女最新曲谱
张燕
5、
千里共婵娟最新曲谱
张燕
6、
月光爱人最新曲谱
张燕
7、
刘三姐最新曲谱
阎维文 张燕
8、
亲爱的人最新曲谱
张燕
/
阎维文
9、
亲爱的人最新曲谱
张燕影
10、
天山路,弯又弯(电影《天山行》插曲)最新曲谱