首页
简谱
吉他谱
钢琴谱
最新曲谱
分类
流行类
民族类
少儿类
影视类
戏曲类
外国类
上传曲谱
新乐谱
>
格式
>
最新曲谱
> 喜欢最新曲谱
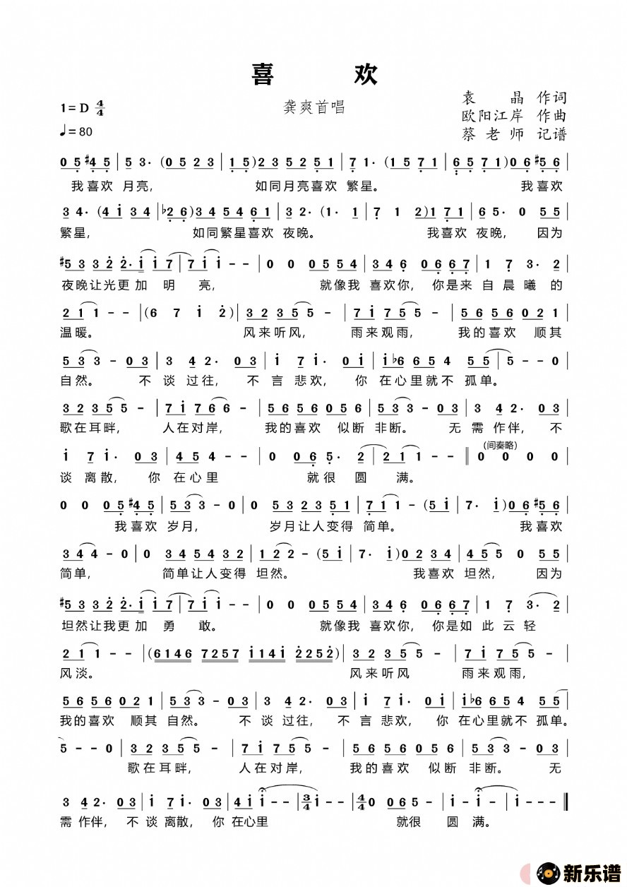
《喜欢》最新曲谱 龚爽
作词:袁晶 作曲:欧阳江岸(民族唱法)
龚爽
2024-02-22 22:02:59
民族类
喜欢
龚爽
龚爽演唱的喜欢歌词,喜欢最新曲谱.
上一篇:
玛吉阿米
下一篇:
富春山居图-王小妹
共
0
条评论
评论列表
立即发布
喜欢/龚爽 相关曲谱
龚爽
1、
从此最新曲谱
龚爽
2、
月下等你回故乡最新曲谱
谭维维
3、
爱到底(电视剧《偏偏喜欢你》主题曲)最新曲谱
龚爽
4、
月光近 月亮远最新曲谱
龚爽
5、
黄河水绕着准格尔流(大字)最新曲谱
龚爽
6、
黄河水绕着准格尔流简谱
龚爽
7、
月下等你回故乡简谱
龚爽
/
汤俊
8、
因为有你在远方简谱
龚爽
9、
家中有喜简谱
石倚洁
/
龚爽
10、
冰雪之约简谱