首页
简谱
吉他谱
钢琴谱
最新曲谱
分类
流行类
民族类
少儿类
影视类
戏曲类
外国类
上传曲谱
新乐谱
>
格式
>
最新曲谱
> 月之恋最新曲谱
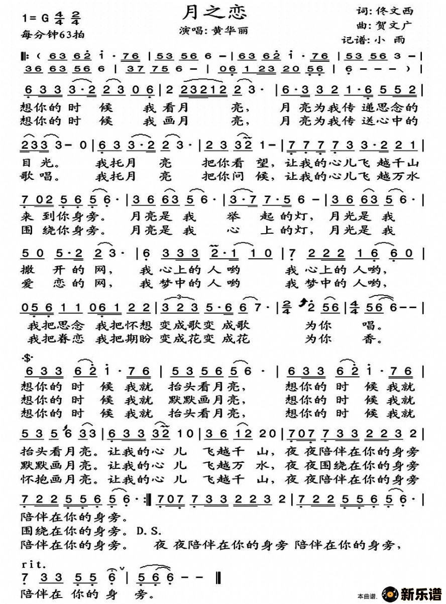
《月之恋》最新曲谱 黄华丽
作词:佟文西 作曲:贺文广(佟文西词 贺文广曲)
黄华丽
2022-05-15 22:47:24
流行类
月之恋
黄华丽
黄华丽演唱的月之恋歌词,月之恋最新曲谱.
上一篇:
月之恋
下一篇:
小雨沙沙
共
0
条评论
评论列表
立即发布
月之恋/黄华丽 相关曲谱
1、
月之恋最新曲谱
红叶组合
2、
月之恋简谱
范竞马
/
黄华丽
3、
月亮中国最新曲谱
黄华丽
4、
思儿(歌剧《野火春风斗古城》选曲)简谱
黄华丽
5、
山鬼之歌(歌剧《屈原》选曲)1-3页简谱
黄华丽
6、
山鬼之歌(歌剧《屈原》选曲)4-6页简谱
黄华丽
7、
山鬼之歌(歌剧《屈原》选曲)7-9页简谱
黄华丽
8、
山鬼之歌(歌剧《屈原》选曲)10-11页简谱
黄华丽
9、
山歌越唱越精神简谱
黄华丽
10、
故乡恋歌最新曲谱