首页
简谱
吉他谱
钢琴谱
最新曲谱
分类
流行类
民族类
少儿类
影视类
戏曲类
外国类
上传曲谱
新乐谱
>
格式
>
最新曲谱
> 只要平凡最新曲谱
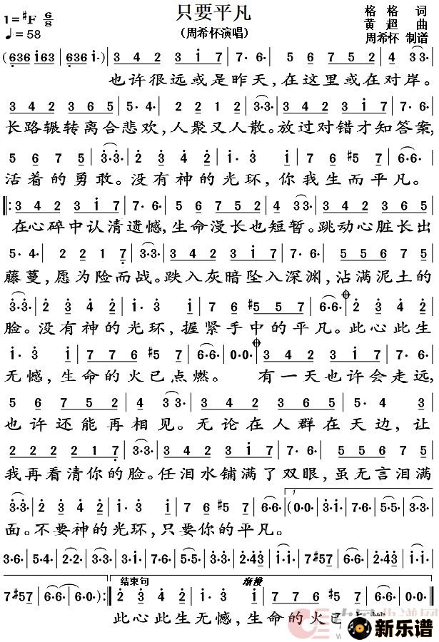
《只要平凡》最新曲谱
作词:格格 作曲:黄超(周希怀演唱)
2022-05-11 22:18:49
流行类
只要平凡
演唱的只要平凡歌词,只要平凡最新曲谱.
上一篇:
无悔(电视剧《百万新娘之爱无悔》插曲)-吉他
下一篇:
妈妈的心
共
0
条评论
评论列表
立即发布
只要平凡/ 相关曲谱
1、
《只要平凡》最新曲谱
张杰 张碧晨
2、
只要平凡吉他谱
张杰
/
张碧晨
3、
只要平凡最新曲谱
张杰
4、
只要平凡吉他谱
张杰 张碧晨
5、
只要平凡最新曲谱
张杰 张碧晨
6、
只要平凡吉他谱
张杰
/
张碧晨
7、
只要平凡吉他谱