首页
简谱
吉他谱
钢琴谱
最新曲谱
分类
流行类
民族类
少儿类
影视类
戏曲类
外国类
上传曲谱
新乐谱
>
格式
>
最新曲谱
> 格桑花开最新曲谱
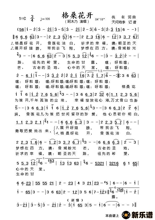
《格桑花开》最新曲谱 阿木乃
作词:佚名 作曲:佚名
阿木乃
2022-04-22 18:31:35
流行类
格桑花开
阿木乃
阿木乃演唱的格桑花开歌词,格桑花开最新曲谱.
上一篇:
格桑花开
下一篇:
乡村四月合唱谱
共
0
条评论
评论列表
立即发布
格桑花开/阿木乃 相关曲谱
1、
格桑花开最新曲谱
阿木乃
2、
梦回故乡最新曲谱
阿木乃
3、
手心里的温柔简谱