首页
简谱
吉他谱
钢琴谱
最新曲谱
分类
流行类
民族类
少儿类
影视类
戏曲类
外国类
上传曲谱
新乐谱
>
格式
>
最新曲谱
> 歌唱二小放牛郎最新曲谱
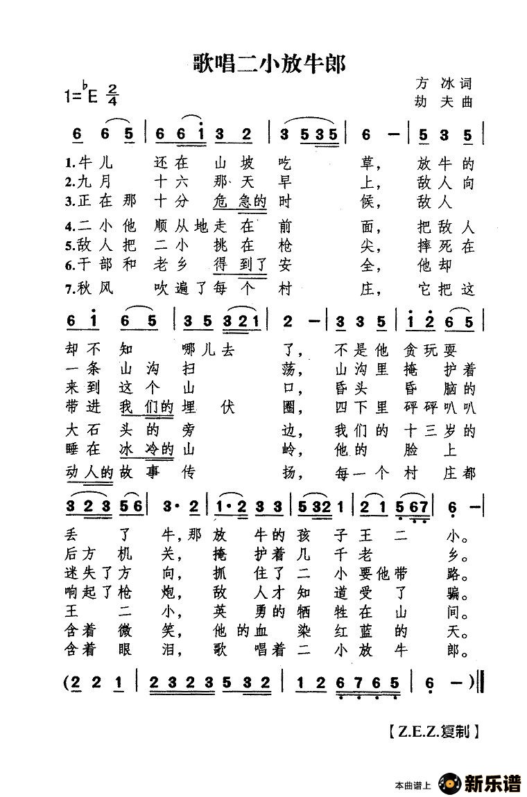
《歌唱二小放牛郎》最新曲谱
作词:方冰 作曲:劫夫
2022-04-19 10:58:51
流行类
歌唱二小放牛郎
演唱的歌唱二小放牛郎歌词,歌唱二小放牛郎最新曲谱.
上一篇:
观世音菩萨赞
下一篇:
歌唱二小放牛郎
共
0
条评论
评论列表
立即发布
歌唱二小放牛郎/ 相关曲谱
1、
歌唱二小放牛郎最新曲谱
2、
歌唱二小放牛郎最新曲谱
3、
歌唱二小放牛郎最新曲谱
4、
歌唱二小放牛郎最新曲谱
肖文
5、
歌唱二小放牛郎最新曲谱
6、
歌唱二小放牛郎简谱