首页
简谱
吉他谱
钢琴谱
最新曲谱
分类
流行类
民族类
少儿类
影视类
戏曲类
外国类
上传曲谱
新乐谱
>
格式
>
最新曲谱
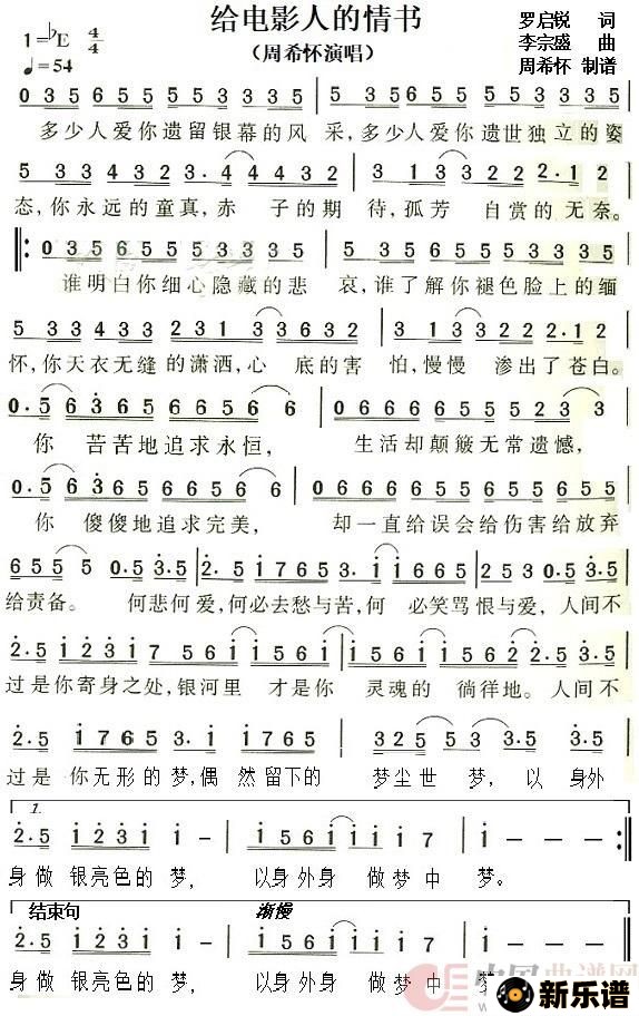
> 给电影人的情书(周希怀演唱)最新曲谱
《给电影人的情书(周希怀演唱)》最新曲谱 蔡琴
作词:罗启锐 作曲:李宗盛
蔡琴
2022-03-23 19:23:54
影视类
给电影人的情书(周希怀演唱)
蔡琴
蔡琴演唱的给电影人的情书(周希怀演唱)歌词,给电影人的情书(周希怀演唱)最新曲谱.
上一篇:
雨是天空的泪-奶牛
下一篇:
站在草原望北京
共
0
条评论
评论列表
立即发布
给电影人的情书(周希怀演唱)/蔡琴 相关曲谱
蔡琴
1、
月满西楼最新曲谱
蔡琴
2、
科罗拉多之夜最新曲谱
蔡琴
3、
苏州河边最新曲谱
蔡琴
4、
你的眼神吉他谱
蔡琴
5、
渡口最新曲谱
蔡琴
6、
如梦令最新曲谱
蔡琴
7、
白桦林最新曲谱
蔡琴
8、
在那银色的月光下最新曲谱
蔡琴
9、
魂萦旧梦(电视剧《海上孟府》插曲)最新曲谱
蔡琴
10、
我怎能离开你(电影《彩云飞》主题曲)最新曲谱