首页
简谱
吉他谱
钢琴谱
最新曲谱
分类
流行类
民族类
少儿类
影视类
戏曲类
外国类
上传曲谱
新乐谱
>
格式
>
最新曲谱
> 天下黄河最新曲谱
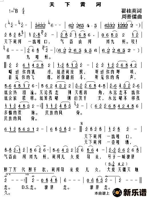
《天下黄河》最新曲谱
作词:翟桂英 作曲:周善儒(翟桂英词 周善儒曲)
2022-02-21 11:26:18
流行类
天下黄河
演唱的天下黄河歌词,天下黄河最新曲谱.
上一篇:
我伴梅花报春来-张也
下一篇:
有缘今生会相见-雨中百合
共
0
条评论
评论列表
立即发布
天下黄河/ 相关曲谱