首页
简谱
吉他谱
钢琴谱
最新曲谱
分类
流行类
民族类
少儿类
影视类
戏曲类
外国类
上传曲谱
新乐谱
>
格式
>
最新曲谱
> 卓玛最新曲谱
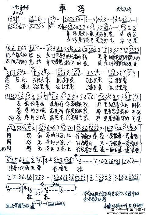
《卓玛》最新曲谱 央金兰泽
(央金兰泽演唱版)
央金兰泽
2022-11-18 08:22:29
流行类
卓玛
央金兰泽
央金兰泽演唱的卓玛歌词,卓玛最新曲谱.
上一篇:
饮水思源-成龙
下一篇:
我爱你中国姑娘
共
0
条评论
评论列表
立即发布
卓玛/央金兰泽 相关曲谱
降央卓玛
1、
吉祥藏历年最新曲谱
降央卓玛
2、
吉祥藏历年最新曲谱
降央卓玛
3、
呼伦贝尔大草原最新曲谱
达娃卓玛
4、
无尽的思念最新曲谱
达娃卓玛
5、
无尽的思念最新曲谱
佳银卓玛
6、
绿水青山最新曲谱
达娃卓玛
7、
白马寨有我最美的姑娘最新曲谱
8、
卓玛最新曲谱
央金兰泽
9、
爱在思金拉措简谱
央金兰泽
10、
爱琴海最新曲谱