首页
简谱
吉他谱
钢琴谱
最新曲谱
分类
流行类
民族类
少儿类
影视类
戏曲类
外国类
上传曲谱
新乐谱
>
格式
>
最新曲谱
> 爱的精灵最新曲谱
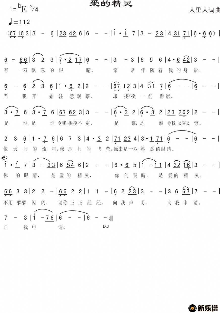
《爱的精灵》最新曲谱
作词:人里人 作曲:人里人
2022-01-26 21:39:25
流行类
爱的精灵
演唱的爱的精灵歌词,爱的精灵最新曲谱.
上一篇:
说散就散-袁娅维
下一篇:
祖国我深深地爱你-魏松
共
0
条评论
评论列表
立即发布
爱的精灵/ 相关曲谱