首页
简谱
吉他谱
钢琴谱
最新曲谱
分类
流行类
民族类
少儿类
影视类
戏曲类
外国类
上传曲谱
新乐谱
>
格式
>
最新曲谱
> 伏尔塔瓦河最新曲谱
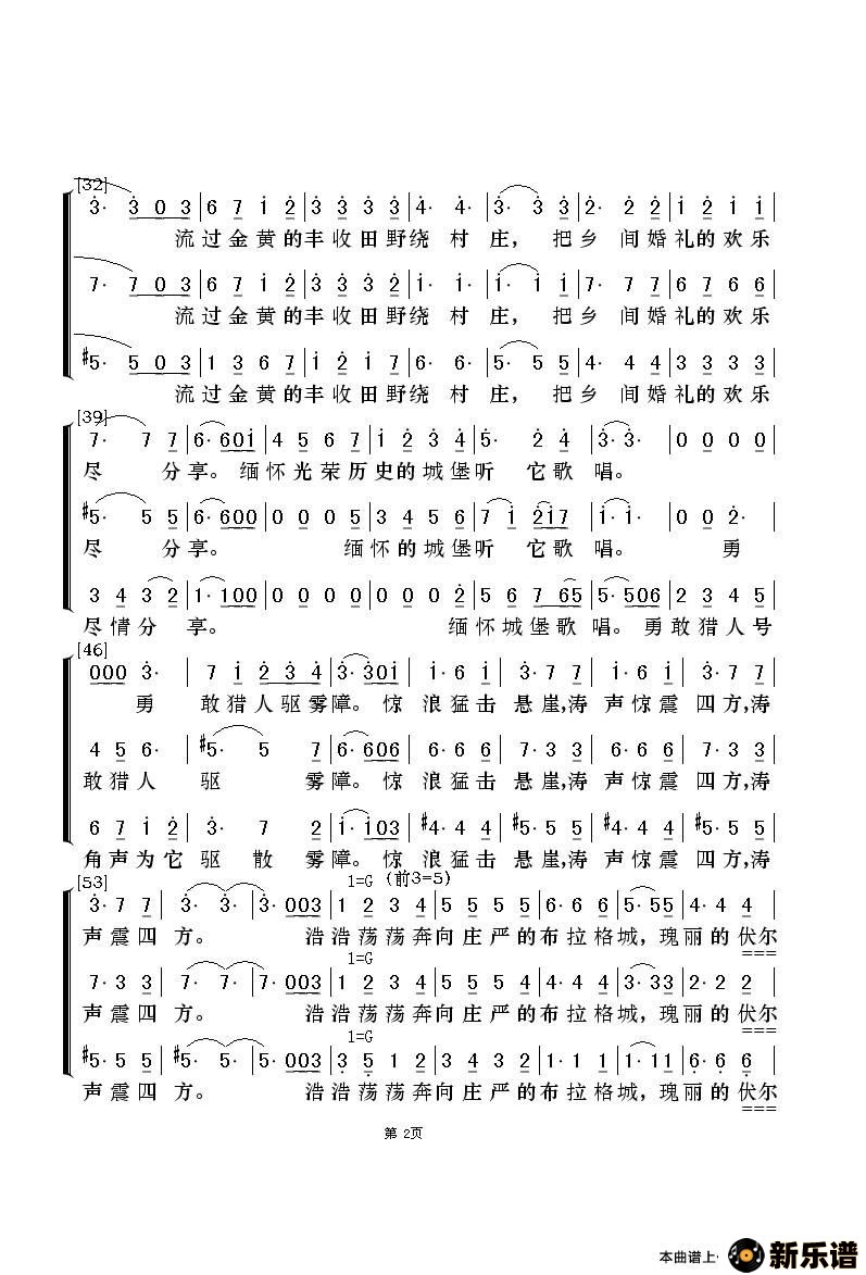
《伏尔塔瓦河》最新曲谱
作词:林华、填词改编 作曲:[捷克]斯美塔那作曲、群之制简谱(世界名曲交响诗《我的祖国》 )
2022-01-19 10:00:00
流行类
伏尔塔瓦河
演唱的伏尔塔瓦河歌词,伏尔塔瓦河最新曲谱.
上一篇:
好男儿当自强
下一篇:
不为谁而作的歌-林俊杰
共
0
条评论
评论列表
立即发布
伏尔塔瓦河/ 我的祖国 相关曲谱
1、
我的祖国最新曲谱
沈建国
2、
我的祖国钢琴谱
哈尔滨农垦总局干休所艺术团
3、
我的祖国最新曲谱
郭兰英
4、
我的祖国最新曲谱
王菲
5、
王菲《我和我的祖国》吉他谱 c调弹唱六线谱吉他谱
6、
我的祖国最新曲谱
7、
我的祖国最新曲谱
8、
我的祖国吉他谱
9、
《我和我的祖国》最新曲谱
郭兰英
10、
我的祖国最新曲谱