首页
简谱
吉他谱
钢琴谱
最新曲谱
分类
流行类
民族类
少儿类
影视类
戏曲类
外国类
上传曲谱
新乐谱
>
格式
>
最新曲谱
> 一首醉人的歌最新曲谱
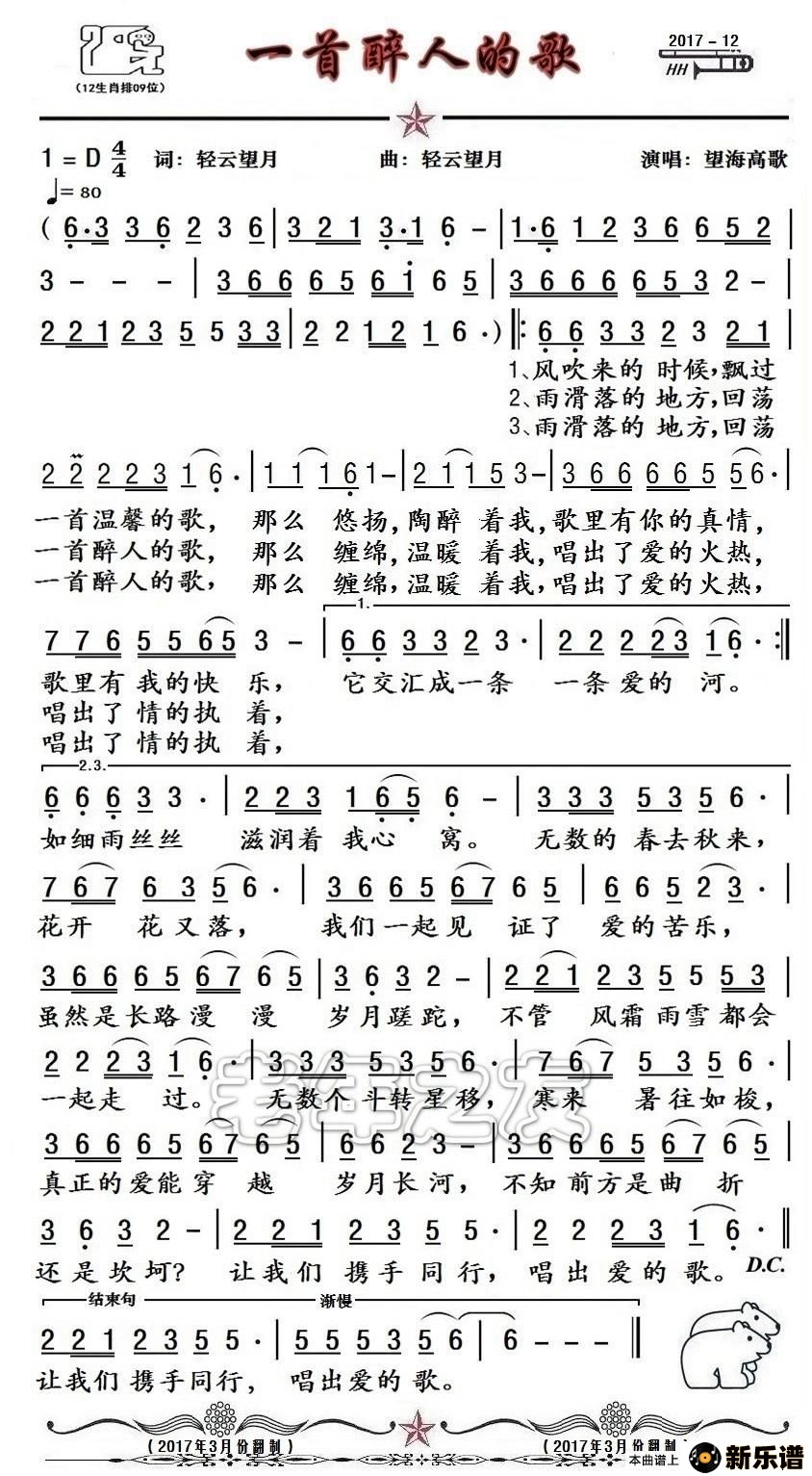
《一首醉人的歌》最新曲谱
作词:轻云望月 作曲:望海高歌(轻云望月词 望海高歌曲)
2021-09-05 09:54:15
流行类
一首醉人的歌
演唱的一首醉人的歌歌词,一首醉人的歌最新曲谱.
上一篇:
今生只为你等候-烟圈蔓延
下一篇:
梦断沈园-望海高歌
共
0
条评论
评论列表
立即发布
一首醉人的歌/ 相关曲谱
望海高歌
1、
一首醉人的歌最新曲谱
星月组合
2、
一首醉人的歌最新曲谱