首页
简谱
吉他谱
钢琴谱
最新曲谱
分类
流行类
民族类
少儿类
影视类
戏曲类
外国类
上传曲谱
新乐谱
>
格式
>
最新曲谱
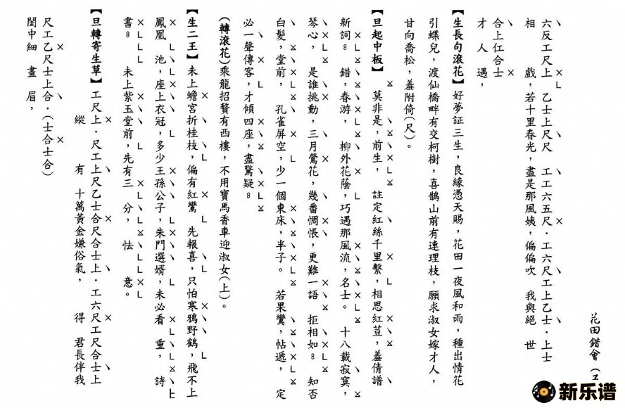
> 【粤曲】花田错会最新曲谱
《【粤曲】花田错会》最新曲谱
(工尺谱)
2021-12-25 22:58:58
流行类
【粤曲】花田错会
演唱的【粤曲】花田错会歌词,【粤曲】花田错会最新曲谱.
上一篇:
过雪山草地
下一篇:
大鱼-周深
共
0
条评论
评论列表
立即发布
【粤曲】花田错会/ 相关曲谱