首页
简谱
吉他谱
钢琴谱
最新曲谱
分类
流行类
民族类
少儿类
影视类
戏曲类
外国类
上传曲谱
新乐谱
>
格式
>
最新曲谱
> 美观最新曲谱
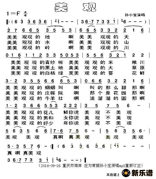
《美观》最新曲谱 孙小宝
孙小宝
2021-12-23 08:09:07
流行类
美观
孙小宝
孙小宝演唱的美观歌词,美观最新曲谱.
上一篇:
渔舟唱晚 -关正杰
下一篇:
美观(电视剧《美丽的田野》插曲)-孙小宝
共
0
条评论
评论列表
立即发布
美观/孙小宝 相关曲谱
孙小宝
1、
美观(电视剧《美丽的田野》插曲)最新曲谱