首页
简谱
吉他谱
钢琴谱
最新曲谱
分类
流行类
民族类
少儿类
影视类
戏曲类
外国类
上传曲谱
新乐谱
>
格式
>
最新曲谱
> 半壶纱最新曲谱
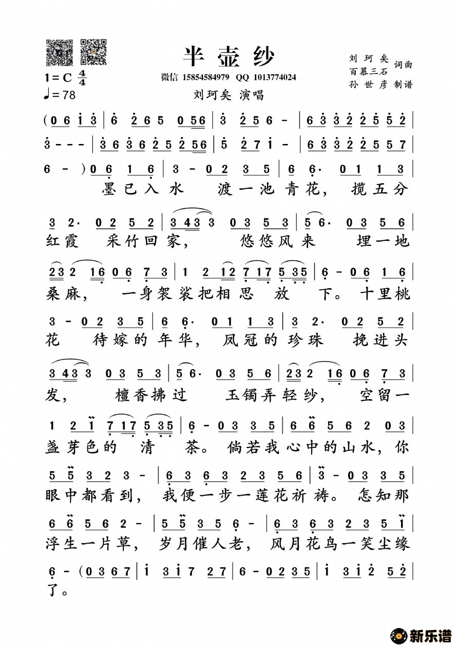
《半壶纱》最新曲谱 刘珂矣
作词:刘珂矣 百慕三石 作曲:刘珂矣 百慕三石
刘珂矣
2021-11-24 18:41:09
流行类
半壶纱
刘珂矣
刘珂矣演唱的半壶纱歌词,半壶纱最新曲谱.
上一篇:
酒后的心声-江蕙
下一篇:
天意-刘德华
共
0
条评论
评论列表
立即发布
半壶纱/刘珂矣 相关曲谱
刘珂矣
1、
一尘梦最新曲谱
刘珂矣
2、
风筝误最新曲谱
刘珂矣
3、
风筝误最新曲谱
刘珂矣
4、
弦丝万缕简谱
刘珂矣
/
国风音乐联盟
5、
弦丝万缕简谱
刘珂矣
6、
人间一两风简谱
刘珂矣
7、
半壶纱最新曲谱
刘珂矣
8、
流星白羽简谱
刘珂矣
9、
缥缃醉最新曲谱
刘珂矣
10、
风筝误最新曲谱