首页
简谱
吉他谱
钢琴谱
最新曲谱
分类
流行类
民族类
少儿类
影视类
戏曲类
外国类
上传曲谱
新乐谱
>
格式
>
最新曲谱
> 空谷幽兰最新曲谱
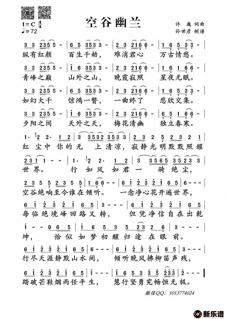
《空谷幽兰》最新曲谱 -孙世彦制谱
作词:许巍 作曲:许巍
2021-01-28 19:11:28
流行类
空谷幽兰
演唱的空谷幽兰歌词,空谷幽兰最新曲谱.
此最新曲谱由新乐谱会员
孙世彦
上传
上一篇:
两只老虎
下一篇:
告白之夜-喻言家
共
0
条评论
评论列表
立即发布
空谷幽兰/ 相关曲谱
1、
空谷幽兰吉他谱