首页
简谱
吉他谱
钢琴谱
最新曲谱
分类
流行类
民族类
少儿类
影视类
戏曲类
外国类
上传曲谱
新乐谱
>
格式
>
最新曲谱
> 送亲最新曲谱
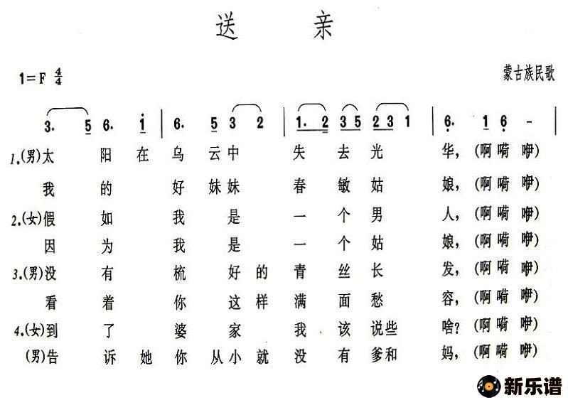
《送亲》最新曲谱
2020-07-28 10:16:46
流行类
送亲
演唱的送亲歌词,送亲最新曲谱.
上一篇:
酒醉的蝴蝶-景楼
下一篇:
忘了吧
共
0
条评论
评论列表
立即发布
送亲/ 相关曲谱
王琪
1、
送亲最新曲谱
曾小美
2、
送亲最新曲谱
痴鑫
3、
送亲最新曲谱
王琪
4、
送亲最新曲谱
阿亮
5、
送亲最新曲谱
王琪
6、
送亲最新曲谱
倪尔萍
7、
送亲最新曲谱
王琪
8、
送亲最新曲谱
王琪
9、
送亲简谱