首页
简谱
吉他谱
钢琴谱
最新曲谱
分类
流行类
民族类
少儿类
影视类
戏曲类
外国类
上传曲谱
新乐谱
>
格式
>
最新曲谱
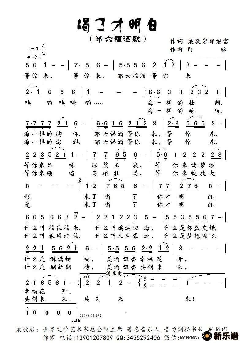
> 【邹六福酒歌】喝了才明白-李清泉最新曲谱
《【邹六福酒歌】喝了才明白-李清泉》最新曲谱 李清泉
作词:梁敬岩邹继富 作曲:阿 酩
李清泉
2019-07-28 21:47:44
流行类
【邹六福酒歌】喝了才明白-李清泉
李清泉
李清泉演唱的【邹六福酒歌】喝了才明白-李清泉歌词,【邹六福酒歌】喝了才明白-李清泉最新曲谱.
上一篇:
摇篮谣-曹瀚元/裴思瑶
下一篇:
美丽约定-杨乐
共
0
条评论
评论列表
立即发布
【邹六福酒歌】喝了才明白-李清泉/李清泉 相关曲谱
李清泉
/
郝立勇
1、
梦想颂-李清泉郝立勇最新曲谱