《跟往事干杯》最新曲谱 姜育恒

跟往事干杯歌词
跟往事干杯姜育恒

姜育恒演唱的跟往事干杯歌词,跟往事干杯最新曲谱.

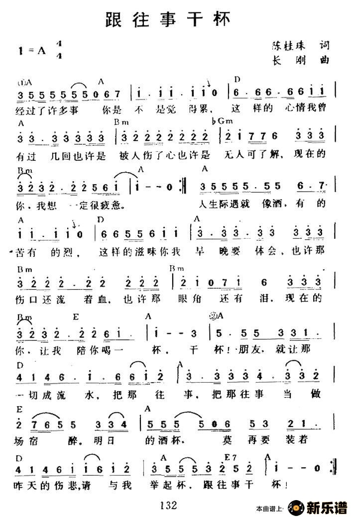
    经过了许多事
    你是不是觉得累
    这样的心情
    我曾有过几回
    也许是被人伤了心
    也许是无人可了解
    现在的你我想一定很疲惫
    人生际遇就象酒
    有的苦 有的烈
    这样的滋味
    你我早晚要体会
    也许那伤口还流着血
    也许那眼角还有泪
    现在的你让我陪你喝一杯
    干杯 朋友
    就让那一切成流水
    把那往事
    把那往事当作一场宿醉
    明日的酒杯莫再要装着昨天的伤悲
    请与我举起杯
    跟往事干杯
    经过了许多事
    你是不是觉得累
    这样的心情
    我曾有过几回
    也许是被人伤了心
    也许是无人可了解
    现在的你我想一定很疲惫
    人生际遇就象酒
    有的苦 有的烈
    这样的滋味
    你我早晚要体会
    也许那伤口还流着血
    也许那眼角还有泪
    现在的你让我陪你喝一杯
    干杯 朋友
    就让那一切成流水
    把那往事
    把那往事当作一场宿醉
    明日的酒杯莫再要装着昨天的伤悲
    请与我举起杯 跟往事干杯
    干杯 朋友
    就让那一切成流水
    把那往事
    把那往事当作一场宿醉
    明日的酒杯莫再要装着昨天的伤悲
    请与我举起杯 跟往事干杯
    干杯 朋友
    就让那一切成流水
    把那往事
    把那往事当作一场宿醉
    明日的酒杯莫再要装着昨天的伤悲
    请与我举起杯 跟往事干杯
    举起杯 跟往事干杯

版本一

歌曲跟往事干杯的简谱歌谱下载

版本二

歌曲跟往事干杯的简谱歌谱下载
上一篇:往事-龙飘飘
下一篇:往事随风-齐秦

0条评论评论列表