首页
简谱
吉他谱
钢琴谱
最新曲谱
分类
流行类
民族类
少儿类
影视类
戏曲类
外国类
上传曲谱
新乐谱
>
格式
>
最新曲谱
> 新的天地(电影《厉害了,我的国》主题曲)最新曲谱
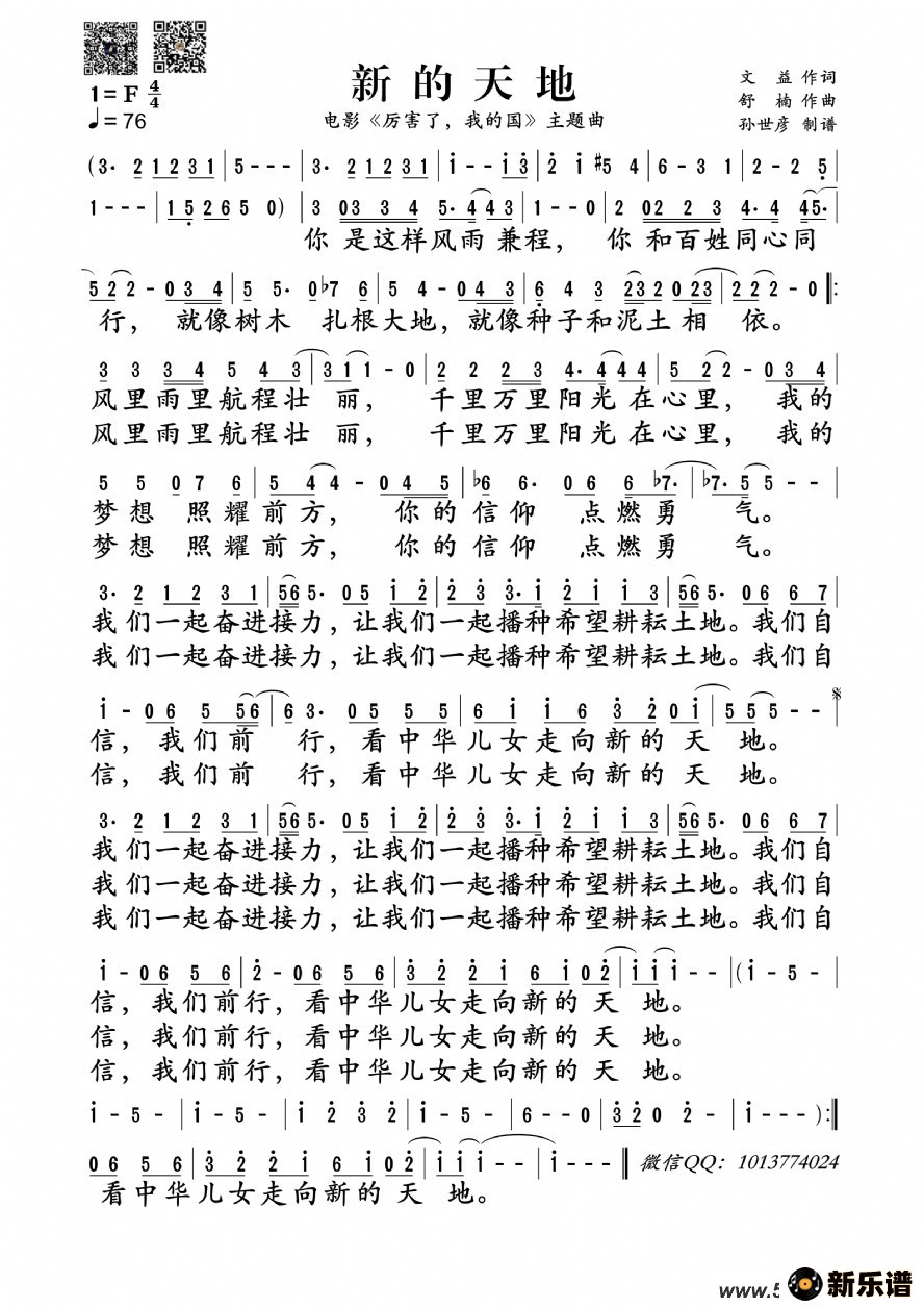
《新的天地(电影《厉害了,我的国》主题曲)》最新曲谱 孙楠-孙世彦制谱
作词:文益 作曲:舒楠
孙楠
2019-03-21 18:43:23
影视类
新的天地(电影《厉害了,我的国》主题曲)
孙楠
孙楠演唱的新的天地(电影《厉害了,我的国》主题曲)歌词,新的天地(电影《厉害了,我的国》主题曲)最新曲谱.
此最新曲谱由新乐谱会员
孙世彦
上传
上一篇:
乘着生命的翅膀
下一篇:
[粤曲]琵琶行-彭炽权/林佩珍
共
0
条评论
评论列表
立即发布
新的天地(电影《厉害了,我的国》主题曲)/孙楠 厉害了,我的国 相关曲谱
孙楠
1、
缘分的天空最新曲谱
韩红
/
孙楠
2、
无尽的爱(电影《神话》主题歌)最新曲谱
孙楠
3、
梦中的额吉最新曲谱
孙楠
4、
新的天地(电视系列片《辉煌中国》主题歌)(文益词 舒楠曲)最新曲谱
孙楠
5、
我笃信你简谱
孙楠
6、
拯救最新曲谱
孙楠
7、
善变(孙楠)简谱
孙楠
8、
净土(电视剧《木府风云》主题歌)最新曲谱
谭晶
/
孙楠
9、
冰雪舞动最新曲谱
孙楠
/
谭维维
10、
幸福新起点最新曲谱