首页
简谱
吉他谱
钢琴谱
最新曲谱
分类
流行类
民族类
少儿类
影视类
戏曲类
外国类
上传曲谱
新乐谱
>
格式
>
最新曲谱
> [前苏联] 大学生旅途之歌最新曲谱
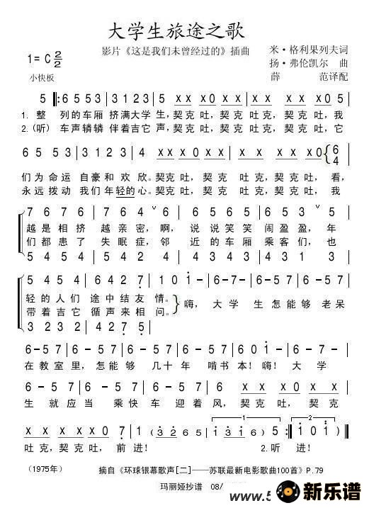
《[前苏联] 大学生旅途之歌》最新曲谱
2019-01-16 03:17:46
流行类
[前苏联] 大学生旅途之歌
演唱的[前苏联] 大学生旅途之歌歌词,[前苏联] 大学生旅途之歌最新曲谱.
上一篇:
卡农-古典
下一篇:
舍不得忘记-武艺
共
0
条评论
评论列表
立即发布
[前苏联] 大学生旅途之歌/ 相关曲谱