首页
简谱
吉他谱
钢琴谱
最新曲谱
分类
流行类
民族类
少儿类
影视类
戏曲类
外国类
上传曲谱
新乐谱
>
格式
>
最新曲谱
> 赣南闽西红色歌曲:我郎要当兵最新曲谱
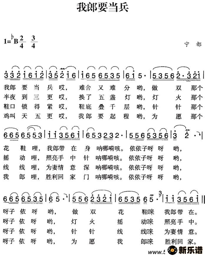
《赣南闽西红色歌曲:我郎要当兵》最新曲谱
作曲:宁都民歌
2018-12-20 18:51:53
流行类
赣南闽西红色歌曲:我郎要当兵
演唱的赣南闽西红色歌曲:我郎要当兵歌词,赣南闽西红色歌曲:我郎要当兵最新曲谱.
上一篇:
一花依世界-洛天依
下一篇:
赣南闽西红色歌曲:青年勇敢歌
共
0
条评论
评论列表
立即发布
赣南闽西红色歌曲:我郎要当兵/ 相关曲谱