首页
简谱
吉他谱
钢琴谱
最新曲谱
分类
流行类
民族类
少儿类
影视类
戏曲类
外国类
上传曲谱
新乐谱
>
格式
>
最新曲谱
> 青春无处安放最新曲谱
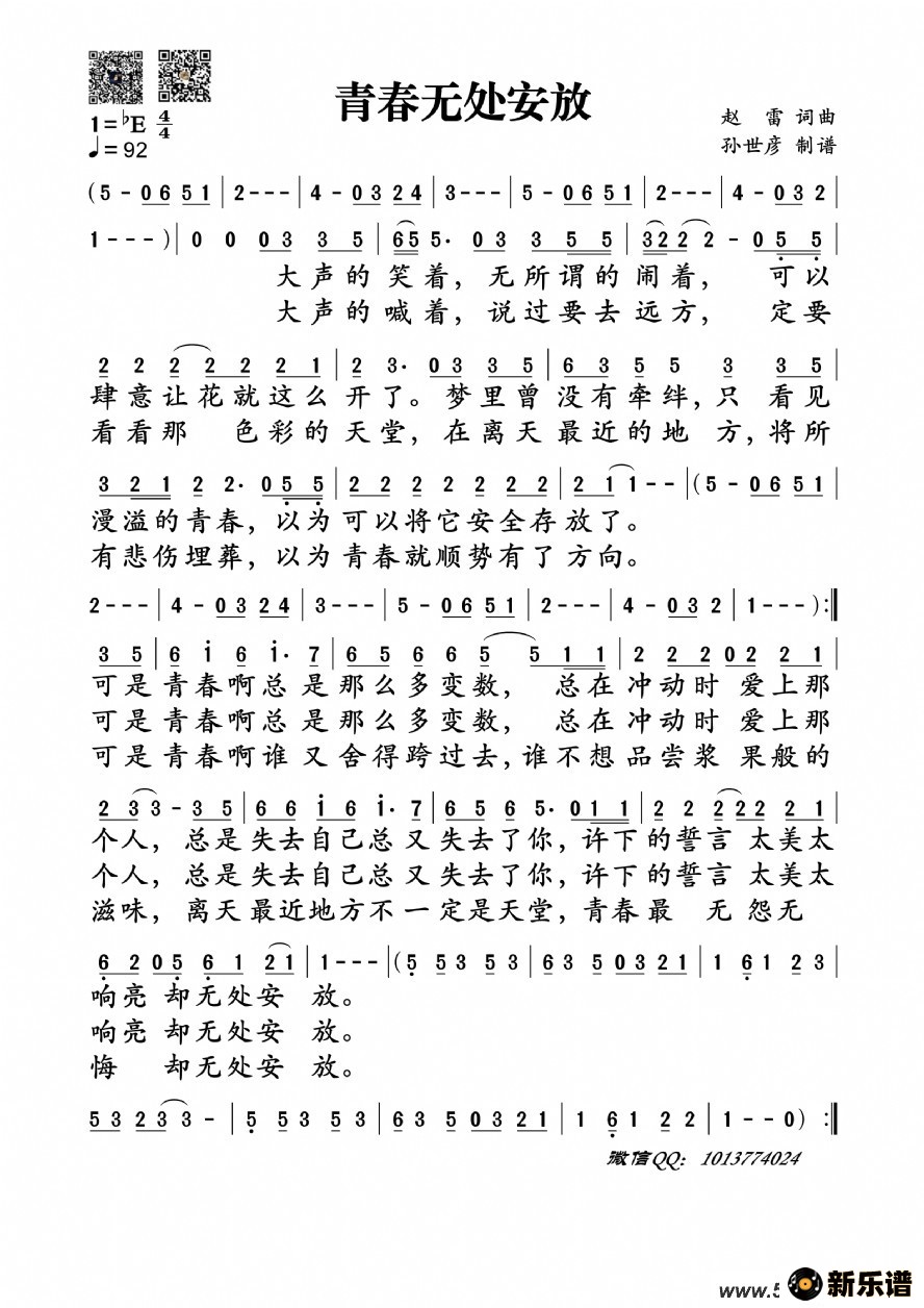
《青春无处安放》最新曲谱 赵雷-孙世彦制谱
作词:赵雷 作曲:赵雷(赵雷词曲)
赵雷
2018-10-26 06:57:07
流行类
青春无处安放
赵雷
赵雷演唱的青春无处安放歌词,青春无处安放最新曲谱.
此最新曲谱由新乐谱会员
孙世彦
上传
上一篇:
少年-光良
下一篇:
兰花-斯兰
共
0
条评论
评论列表
立即发布
青春无处安放/赵雷 相关曲谱
赵雷
1、
少年锦时最新曲谱
赵雷
2、
生活在地下最新曲谱
赵雷
3、
南方姑娘最新曲谱
赵雷
4、
赵雷 南方姑娘 吉他谱吉他谱
赵雷
5、
南方姑娘吉他谱六线谱吉他谱
赵雷
6、
南方姑娘吉他谱
赵雷
7、
南方姑娘吉他谱
赵雷
8、
北京的冬天最新曲谱
赵雷
9、
民谣最新曲谱
赵雷
10、
成都最新曲谱