首页
简谱
吉他谱
钢琴谱
最新曲谱
分类
流行类
民族类
少儿类
影视类
戏曲类
外国类
上传曲谱
新乐谱
>
格式
>
最新曲谱
> 棉花糖最新曲谱
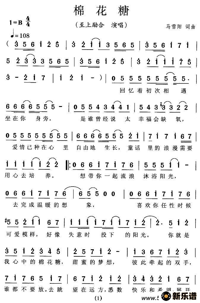
《棉花糖》最新曲谱 至上励合
作词:马雪阳 作曲:马雪阳
至上励合
2018-10-25 13:50:18
流行类
棉花糖
至上励合
至上励合演唱的棉花糖歌词,棉花糖最新曲谱.
版本(1):
版本(2):
上一篇:
山丹花-王静
下一篇:
温暖-许巍
共
0
条评论
评论列表
立即发布
棉花糖/至上励合 相关曲谱
1、
棉花糖最新曲谱
至上励合
2、
鸭梨大最新曲谱
棉花糖
3、
2375最新曲谱
棉花糖
4、
女孩最新曲谱
5、
棉花糖最新曲谱
至上励合
6、
替我幸福最新曲谱
棉花糖
7、
陪你到世界的终结简谱
棉花糖
8、
再见王子简谱
至上励合
9、
繁星简谱