首页
简谱
吉他谱
钢琴谱
最新曲谱
分类
流行类
民族类
少儿类
影视类
戏曲类
外国类
上传曲谱
新乐谱
>
格式
>
最新曲谱
> 远走高飞最新曲谱
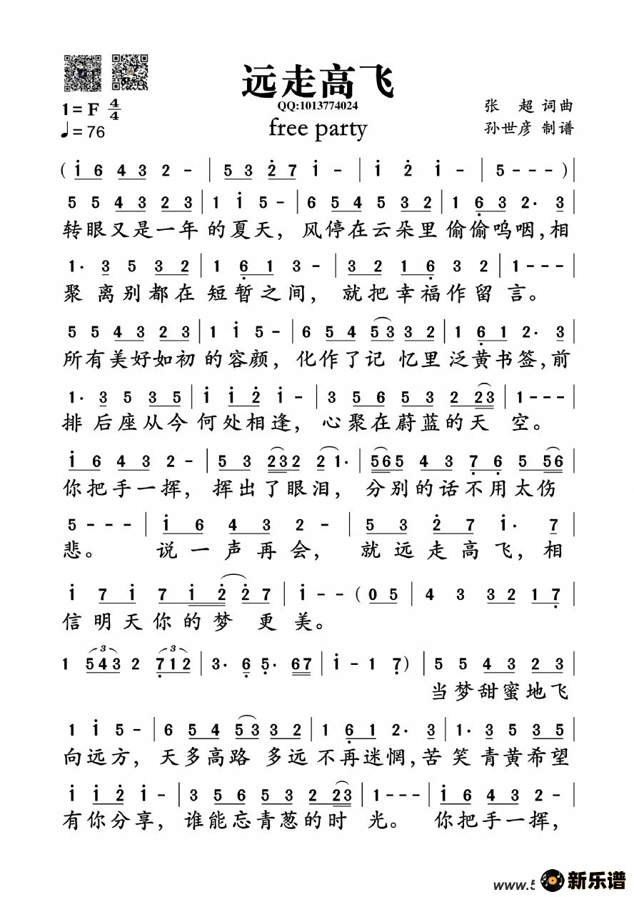
《远走高飞》最新曲谱 自由派对-孙世彦制谱
作词:张超 作曲:张超(张超 词曲)
自由派对
2018-10-23 20:50:42
流行类
远走高飞
自由派对
自由派对演唱的远走高飞歌词,远走高飞最新曲谱.
此最新曲谱由新乐谱会员
孙世彦
上传
上一篇:
怎么决定都是为了明天-孙中亮
下一篇:
妈妈,我们等你回家-张志强
共
0
条评论
评论列表
立即发布
远走高飞/自由派对 相关曲谱
1、
远走高飞最新曲谱
金志文
2、
远走高飞吉他谱
3、
远走高飞最新曲谱
徐佳莹
4、
远走高飞最新曲谱
自由派对
5、
对不起,现在我才爱上你最新曲谱
李圣杰
6、
远走高飞最新曲谱
金志文
7、
远走高飞最新曲谱
自由派对
8、
有一种幸福叫忘记简谱