首页
简谱
吉他谱
钢琴谱
最新曲谱
分类
流行类
民族类
少儿类
影视类
戏曲类
外国类
上传曲谱
新乐谱
>
格式
>
最新曲谱
> 谁最新曲谱
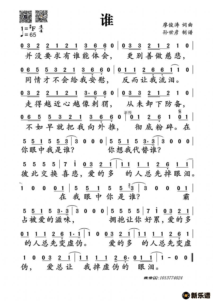
《谁》最新曲谱 -孙世彦制谱
(廖俊涛词曲)
2018-10-15 16:48:37
流行类
谁
演唱的谁歌词,谁最新曲谱.
此最新曲谱由新乐谱会员
孙世彦
上传
上一篇:
独角戏
下一篇:
遇见
共
0
条评论
评论列表
立即发布
谁/ 相关曲谱
雪十郎
1、
谁最新曲谱
2、
谁最新曲谱
3、
谁最新曲谱
周深
4、
渴望遇见(电视剧《谁都渴望遇见你》主题曲)简谱
韩磊
5、
谁主沉浮(电视剧《谁主沉浮》片头歌)最新曲谱
许魏洲
6、
向着光亮那方(电影《谁的青春不迷茫》推广曲)最新曲谱
蔡健雅
7、
谁最新曲谱
谢雨欣
8、
谁最新曲谱
廖俊涛
9、
谁吉他谱
谭咏麟
10、
情凭谁来定错对吉他谱