首页
简谱
吉他谱
钢琴谱
最新曲谱
分类
流行类
民族类
少儿类
影视类
戏曲类
外国类
上传曲谱
新乐谱
>
格式
>
最新曲谱
> 牧马城市最新曲谱
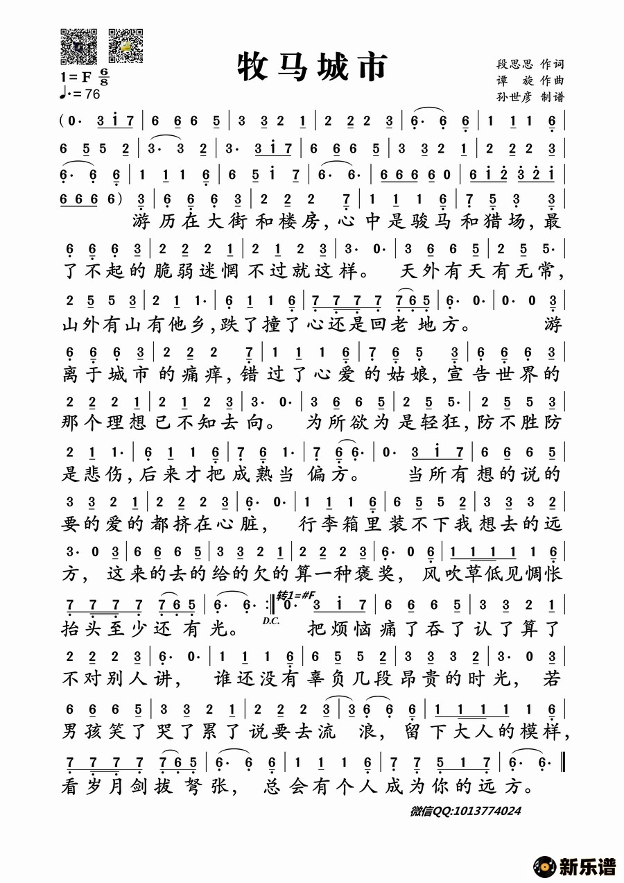
《牧马城市》最新曲谱 毛不易-孙世彦制谱
作词:段思思 作曲:谭旋
毛不易
2018-10-12 16:18:10
流行类
牧马城市
毛不易
毛不易演唱的牧马城市歌词,牧马城市最新曲谱.
此最新曲谱由新乐谱会员
孙世彦
上传
上一篇:
荀彧-曾经艺也
下一篇:
突然想起你-王北车
共
0
条评论
评论列表
立即发布
牧马城市/毛不易 相关曲谱
毛不易
1、
毛不易 平凡的一天 吉他谱吉他谱
毛不易
2、
呓语吉他谱
毛不易
3、
无名的人(电影《雄狮少年》主题曲)吉他谱
毛不易
4、
无名的人(电影《雄狮少年》主题曲)简谱
毛不易
5、
毛不易 如果有一天我变得很有钱 吉他谱吉他谱
毛不易
6、
毛不易 东北民谣 吉他谱 c调指法吉他谱
毛不易
7、
风吟诛仙(新《诛仙》手游2021全新品牌主题曲)简谱
毛不易
8、
给你给我(电视剧《一生一世》插曲)简谱
毛不易
9、
消愁最新曲谱
毛不易
10、
盛夏吉他谱