首页
简谱
吉他谱
钢琴谱
最新曲谱
分类
流行类
民族类
少儿类
影视类
戏曲类
外国类
上传曲谱
新乐谱
>
格式
>
最新曲谱
> 浪人琵琶最新曲谱
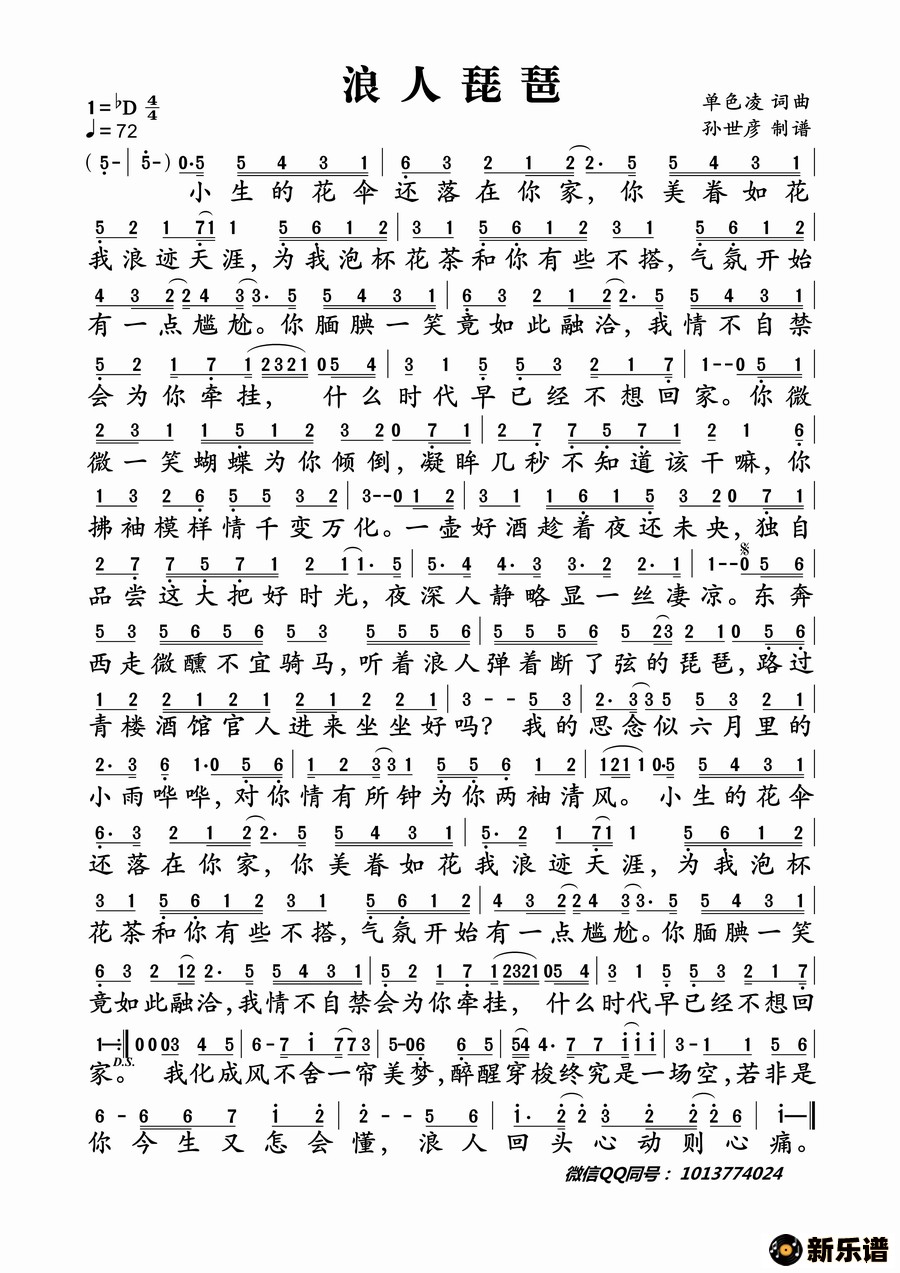
《浪人琵琶》最新曲谱 胡66-孙世彦制谱
作词:单色凌 作曲:单色凌
胡66
2018-10-11 15:44:40
流行类
浪人琵琶
胡66
胡66演唱的浪人琵琶歌词,浪人琵琶最新曲谱.
此最新曲谱由新乐谱会员
孙世彦
上传
上一篇:
卡布奇诺-6诗人
下一篇:
扶摇(电视剧《扶摇》主题曲)-莫文蔚
共
0
条评论
评论列表
立即发布
浪人琵琶/胡66 相关曲谱
胡66
1、
胡66 后来遇见他 吉他谱吉他谱
胡66
2、
浪人琵琶吉他谱
胡66
3、
浪人琵琶最新曲谱
胡66
4、
西子吟简谱
胡66
5、
空空如也吉他谱
胡66
6、
空空如也吉他谱
胡66
7、
都怪我吉他谱
胡66
8、
后来遇见他_C调原版吉他谱
胡66
/
单色凌
9、
浪人琵琶最新曲谱
胡66
10、
空空如也简谱