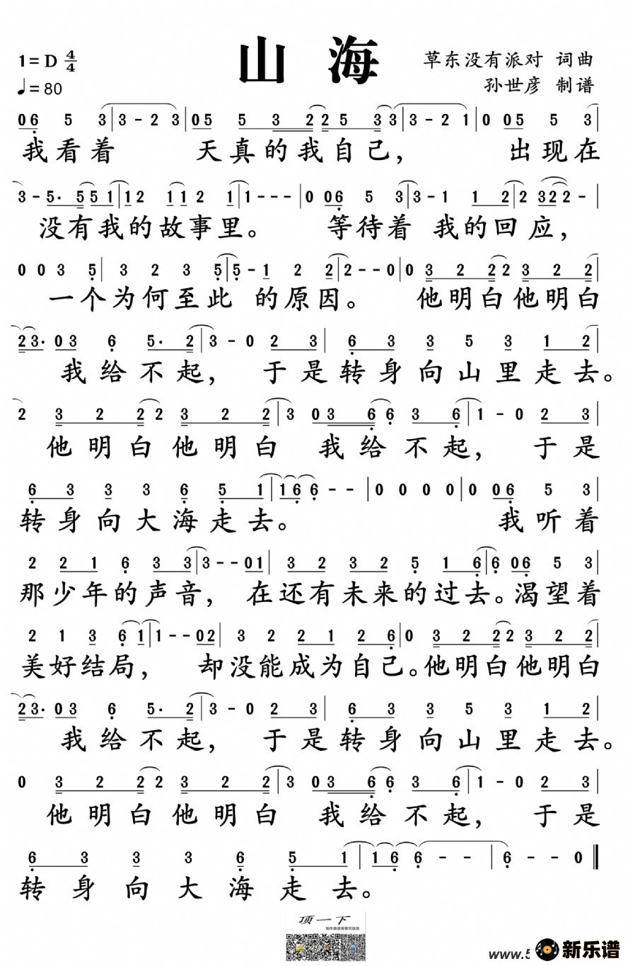
《山海》简谱 草东没有派对-孙世彦制谱

山海歌词
山海草东没有派对

草东没有派对演唱的山海歌词,山海简谱.

歌曲山海的简谱歌谱下载

山海-草东没有派对
词:草东没有派对
曲:草东没有派对
我看着天真的我自己
出现在没有我的故事里
等待着我的回应
一个为何至此的原因
他明白他明白我给不起
于是转身向山里走去
他明白他明白我给不起
于是转身向大海走去
我听着那少年的声音
在还有未来的过去
渴望着美好结局
却没能成为自己
他明白他明白我给不起
于是转身向山里走去
他明白他明白我给不起
于是转身向大海走去
上一篇:浪子回头-茄子蛋
下一篇:谁曾为我流泪-徐靖博

0条评论评论列表