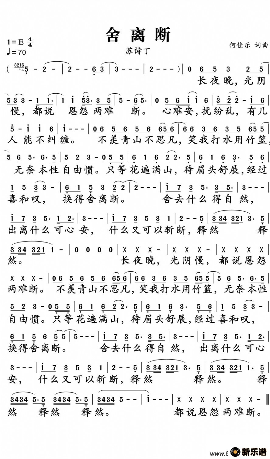
舍离断-苏诗丁
词:何佳乐
曲:何佳乐
原唱:何佳乐
古筝:于淼
吉他:曾宇
念白:丁轶
指挥:钟兴民
长夜晚光阴慢
都说恩怨两难断
心难安扰纷乱
有几人能不纠缠
不羡青山不思凡
笑我打水用竹篮
无奈本性自由惯
只等花遍满山
待眉头舒展
经过喜和叹
换得舍离断
舍去什么得自然
出离什么可心安
什么又可以斩断
释然
释然
长夜晚光阴慢
都说恩怨两难断
不羡青山不思凡
笑我打水用竹篮
无奈本性自由惯
只等花遍满山
待眉头舒展
经过喜和叹
换得舍离断
舍去什么得自然
出离什么可心安
什么又可以斩断
释然
释然
释然
释然
释然
都说恩怨两难断

