首页
简谱
吉他谱
钢琴谱
最新曲谱
分类
流行类
民族类
少儿类
影视类
戏曲类
外国类
上传曲谱
新乐谱
>
格式
>
简谱
> 山东民间舞乐曲(鼓子秧歌6首)简谱
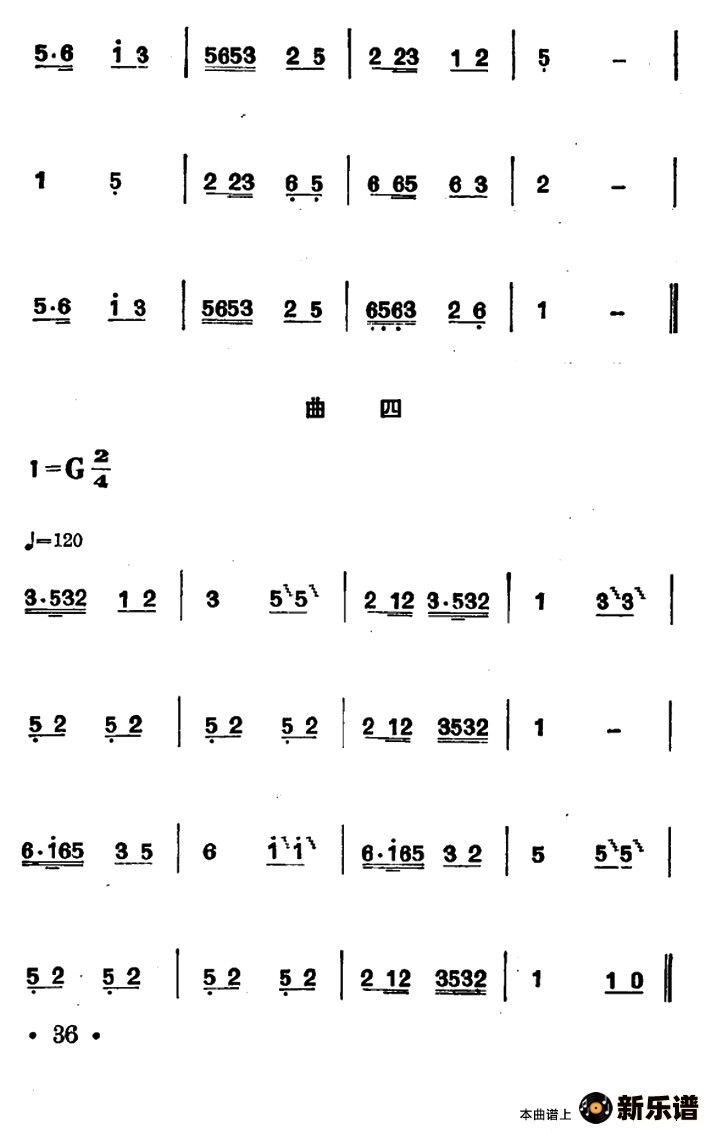
《山东民间舞乐曲(鼓子秧歌6首)》简谱
2017-02-28 00:00:00
流行类
山东民间舞乐曲(鼓子秧歌6首)
演唱的山东民间舞乐曲(鼓子秧歌6首)歌词,山东民间舞乐曲(鼓子秧歌6首)简谱.
上一篇:
山东民间舞乐曲(胶州秧歌6首)
下一篇:
山东,我亲爱的家乡(正谱)-金西曲、芙艺配伴奏
共
0
条评论
评论列表
立即发布
山东民间舞乐曲(鼓子秧歌6首)/ 相关曲谱