首页
简谱
吉他谱
钢琴谱
最新曲谱
分类
流行类
民族类
少儿类
影视类
戏曲类
外国类
上传曲谱
新乐谱
>
格式
>
简谱
> 让我给你点个赞简谱
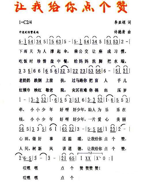
《让我给你点个赞》简谱
2014-09-25 00:00:00
少儿类
让我给你点个赞
演唱的让我给你点个赞歌词,让我给你点个赞简谱.
上一篇:
扛起革命枪(线谱)
下一篇:
漫起个花儿心欢畅(线谱)
共
0
条评论
评论列表
立即发布
让我给你点个赞/ 相关曲谱