首页
简谱
吉他谱
钢琴谱
最新曲谱
分类
流行类
民族类
少儿类
影视类
戏曲类
外国类
上传曲谱
新乐谱
>
格式
>
简谱
> 云南大纪念(云南历史歌曲)简谱
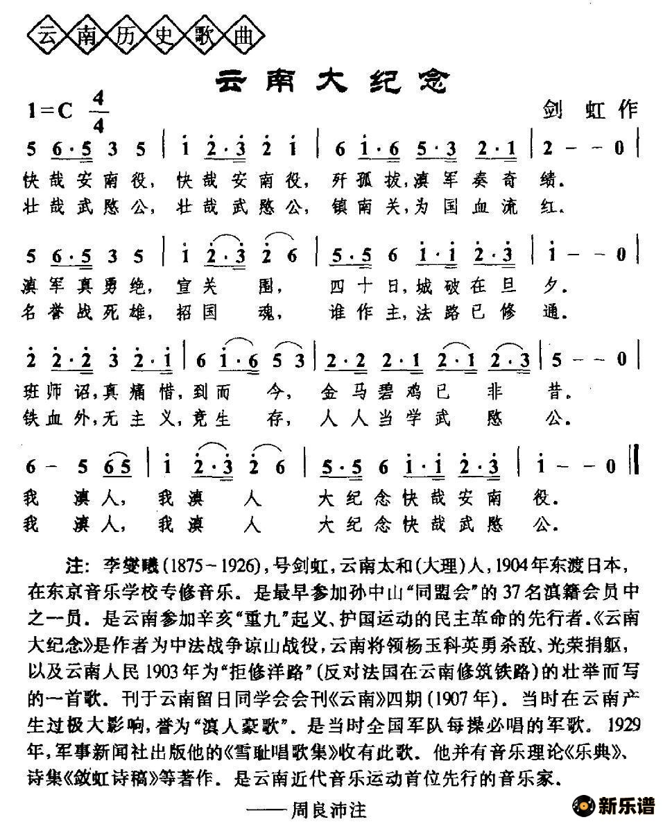
《云南大纪念(云南历史歌曲)》简谱
2012-12-15 00:00:00
民族类
云南大纪念(云南历史歌曲)
演唱的云南大纪念(云南历史歌曲)歌词,云南大纪念(云南历史歌曲)简谱.
上一篇:
向往云南
下一篇:
彩云南酒歌
共
0
条评论
评论列表
立即发布
云南大纪念(云南历史歌曲)/ 相关曲谱