首页
简谱
吉他谱
钢琴谱
最新曲谱
分类
流行类
民族类
少儿类
影视类
戏曲类
外国类
上传曲谱
新乐谱
>
格式
>
简谱
> 听风的歌简谱
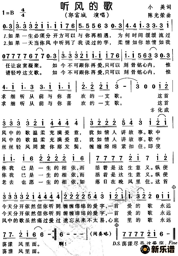
《听风的歌》简谱 郭富城
郭富城
2006-04-05 00:00:00
流行类
听风的歌
郭富城
郭富城演唱的听风的歌歌词,听风的歌简谱.
上一篇:
外面的世界-齐秦
下一篇:
完美-王蓉
共
0
条评论
评论列表
立即发布
听风的歌/郭富城 相关曲谱
郭富城
1、
天涯最新曲谱
郭富城
2、
爱定你简谱
郭富城
3、
我喜欢这样的你简谱
郭富城
4、
风是我的朋友简谱
郭富城
5、
我为何让你走简谱
郭富城
6、
把所有的爱都给你简谱
郭富城
7、
雨中感叹号简谱
郭富城
8、
铁幕诱惑简谱
郭富城
9、
爱你一生够不够简谱
郭富城
10、
我不认输简谱